咨询热线
-
牛王庙总校:
TEL: 13438365568 (同微) -
双楠红牌楼校区:
TEL: 13438365568 (同微)
1.认识经济数学基础作为数学课程的特点。本课程首先是一门数学课程,学好数学课程的关键是注重理解概念,熟悉重要公式,掌握基本方法。这门课程包含了两部分内容:一元函数微积分和线性代数。就这两部分内容具体地说:
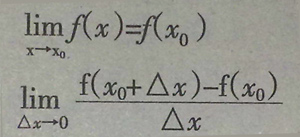
一元函数微积分的主要概念:极限的概念,它贯穿了微积分学的整个内容,极限概念中的重要极限就是:

前者是连续的概念,后者是导数的概念。
重要公式:导数(微分)基本公式(由此派生出积分基本公式),牛顿—莱布尼茨公式(展示微分学与积分学之间的联系)。
基本方法:极限的四则运算法则,导数的四则运算法则,复合函数求导法则,换元积分法,分部积分法。
线性代数的主要概念:矩阵的概念,矩阵的秩,可逆矩阵。
基本方法:矩阵的运算(加法、数乘、乘法、转置),矩阵的初等行变换。
重要结论:线性方程组AX=b有解的充分必要条件是秩A=秩A。
基本方法:初等变换法。
2.认识经济数学基础课程自身的特点。本课程又是与经济学概念有关的数学课程,主要涉及的概念有:需求、供给、成本、收入和利润。由前两者可以讨论供需平衡问题,也就产生了市场均衡价格的概念。而后三者之间的关系是:R-C=L,由此可以讨论盈亏平衡问题。
经济学中的边际概念就是微分学中的导数。
3.充分地利用现有教学资源。目前本课程的教学资源包括:《经济数学基础》文字教材、录像课、录音课、CAI课件和速查卡。
文字教材是同学们获取知识必不可少的媒体,在学习过程中具有其他媒体无法替代的作用。教材的学习指导中介绍了各章的学习方法和教学要求,其三段式教学辅导可以为不同条件的学习者提供帮助。录像课由教师讲解课程的主要内容并进行阶段复习。录音课可以让学习者利用多种场合了解预习要领和解题过程。CAI课件对于巩固消化所学知识具有非常重要的作用,学习者可以进行要点复习、自我练习及综合练习,还可以随时进行自我测试。速查卡则是一个便捷的工具,对于在庞杂的教学内容中记忆那些重要的概念和公式,以及找出它们之间内在的联系会起到特有的作用。


